白金

  • プラチナシート
  • Ptシート

製品詳細

プラチナの紹介

  • プラチナは優れた性能を持ち、多くの分野で広く使用されています。ジュエリー業界では、主に装飾品や工芸品に使用されています。化学業界では、高度な化学容器、プラチナるつぼ、電極、加速化学反応の触媒に使用されています。プラチナイリジウム合金は、万年筆のペ​​ン先の素材でもあります。

  • プラチナの色と光沢は自然です。硬度は4〜4.5度、比重は21.45、比率は15〜19または21.4です。プラチナの延性は強く、金属は非常に細いプラチナ線に引き伸ばされ、極薄のプラチナ箔に巻かれます。その強度と靭性は他の貴金属よりもはるかに高く、1グラムのプラチナは1.6キロメートルの長さまで伸ばしても壊れません。プラチナの融点は1773.5℃です。熱伝導率は良好です。化学的性質は極めて安定しており、強酸と強アルカリに溶けず、空気中でも酸化しません。プラチナは水銀を吸収せず、独特の触媒効果があります。


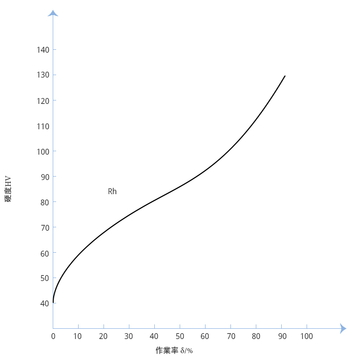
圧延および焼鈍後の純度 99.9% のプラチナの硬度 (焼鈍時間 1 時間)

高純度プラチナの硬化プロセス曲線

高純度プラチナの焼鈍曲線

ご相談・お問合せは随時承ります。